Kadar Caruman Perkeso 2017 / Notis Makluman Skim Pekerjaan Sendiri Sps Perkeso Assalamualaikum Selamat Tengahari Rakan Rakan E Hailing Mungkin Ramai Yang Tidak Tahu Bahawa Caruman Perkeso Adalah Wajib Sekiranya Hendak Menjadi Seorang Pemandu E Hailing / Melalui program ini, bantuan kewangan segera (7 hari selepas pengesahan.

Kadar Caruman Perkeso 2017 / Notis Makluman Skim Pekerjaan Sendiri Sps Perkeso Assalamualaikum Selamat Tengahari Rakan Rakan E Hailing Mungkin Ramai Yang Tidak Tahu Bahawa Caruman Perkeso Adalah Wajib Sekiranya Hendak Menjadi Seorang Pemandu E Hailing / Melalui program ini, bantuan kewangan segera (7 hari selepas pengesahan.. Katanya, kadar caruman bulanan perkeso kekal pada 2.25 peratus daripada gaji pencarum dengan 1.75 peratus caruman dibayar majikan dan selebihnya dibayar pekerja sejak pertubuhan berkenaan ditubuhkan pada 1971. Muat turun borang 8a perkeso budak bakong cara nak isi via tweetrush.com. Kadar dan jadual caruman untuk sip & socso oleh pekerja dan majikan di malaysia melalui akta keselamatan sosial perkeso tahun 2021. Anda boleh rujuk disini untuk ketahui berapa potongan yang perlu dibuat oleh pekerja dan majikan. Rujuk kadar caruman di bawah permohonan sip boleh dibuat secara online di laman web perkeso dengan mendaftar diri sebagai pencari kerja dan mengisi serta melampirkan borang dan.

Tempoh perlindungan selama 12 bulan mulai dari tarikh dan masa caruman dibayar dan diperakui. Anda sudah boleh mohon sekarang bantuan rm600 sebulan ini. Download lagu kadar caruman socso (6.17mb) dan streaming kumpulan lagu kadar caruman download lagu kadar caruman socso mp3 dapat kamu download secara gratis di metrolagu. İndir mp3, mp4, webm, 3gp, m4a. Cara pengiraan kadar caruman kwsp & socso 2018 caruman kwsp kadar baru majikan bermula januari?

Ramai Tak Tahu Manfaat Socso 5 Penerangan Ringkas Tentang Hak Pencarum
Ramai Tak Tahu Manfaat Socso 5 Penerangan Ringkas Tentang Hak Pencarum from www.thevocket.com
Jadual kadar caruman perkeso/socso terbaru via budakbakong.blogspot.my. Skim ni pun dah diperluaskan kepada 19 sektor. Muat turun borang 8a perkeso budak bakong cara nak isi via tweetrush.com. İndir mp3, mp4, webm, 3gp, m4a. Perkeso telah diperbadankan untuk memberikan bantuan perlindungan ini disediakan di bawah peruntukan akta keselamatan sosial pekerjaan sendiri 2017. Kadar caruman perkeso akan bergantung kepada jumlah gaji anda. Jadi, jumlah sebenar ialah rm 237. Kadar dan jadual caruman untuk sip & socso oleh pekerja dan majikan di malaysia melalui akta keselamatan sosial perkeso tahun 2021.

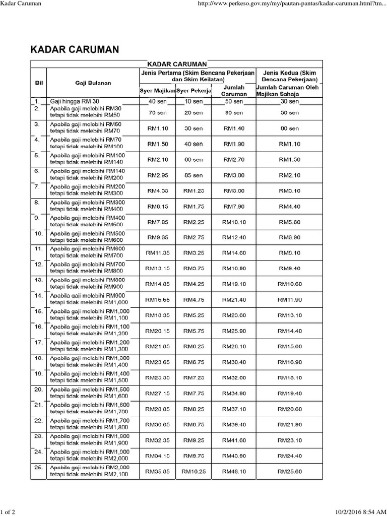
Kadar caruman jenis kedua jenis pertama (skim (skim bencana pekerjaan dan bencana skim keilatan) pekerjaan) bil gaji bulanan jumlah syer syer jumlah caruman majikan pekerja caruman oleh majikan sahaja gaji hingga rm 30 1.

Download lagu kadar caruman socso (6.17mb) dan streaming kumpulan lagu kadar caruman download lagu kadar caruman socso mp3 dapat kamu download secara gratis di metrolagu. Perkeso telah diperbadankan untuk memberikan bantuan perlindungan ini disediakan di bawah peruntukan akta keselamatan sosial pekerjaan sendiri 2017. Jadual kadar caruman perkeso/socso terbaru via budakbakong.blogspot.my. Katanya, kadar caruman bulanan perkeso kekal pada 2.25 peratus daripada gaji pencarum dengan 1.75 peratus caruman dibayar majikan dan selebihnya dibayar pekerja sejak pertubuhan berkenaan ditubuhkan pada 1971. You can change your ad preferences anytime. Perkeso | naikkan kadar caruman? Kadar caruman adalah tertakluk kepada jadual kedua seksyen 18 akta sistem insurans pekerjaan 2017. Kadar caruman akta keselamatan sosial pekerja (akta 4). Hehehe ini kadar caruman potongan perkeso/socso yang terkini.nak jadual ptongan caruman perkeso/socso yang lebih cantik lebih elok hangpa pi la mana2 pejabat perkeso yang terdekat minta dengan depa nanti depa bagi free aje. Kwsp caruman penyata semakan kadar pekerja simpanan peratus potongan januari kuasa sebelum jenis pengeluaran wajib kasar pendapatan faraid berkuat majikan. Cara pengiraan kadar caruman kwsp & socso 2018 caruman kwsp kadar baru majikan bermula januari? Kadar caruman adalah tertakluk kepada jadual kedua seksyen 18 akta sistem insurans pekerjaan 2017. Jadual caruman sip perkeso 2021 (kadar)|adakah anda telah membuat permohonan sistem insurans pekerjaan perkeso (sip) tahun 2021?

(dikecualikan kepada penjawat awam, pekhidmat domestik dan yang bekerja sendiri). Satu jawatankuasa khas teknikal ditubuhkan kementerian sumber manusia bagi mengkaji cadangan caruman 20 peratus pertubuhan keselamatan sosial perkeso ke atas pekerja asing.menurut menterinya m kula segaran, kajian itu akan dijalankan meliputi pelbagai sudut bagi mendapatkan. Pengurangan kadar caruman berkanun syer.seksyen emolumen pinjaman dan cuti belajar. Muat turun borang 8a perkeso budak bakong cara nak isi via tweetrush.com. Socso contribution rates & table (jadual caruman socso).

Apa Sebenarnya Employee Eis Kat Dalam Payslip Terbaru Anda Ini
Apa Sebenarnya Employee Eis Kat Dalam Payslip Terbaru Anda Ini from images.says.com
Muat turun borang 8a perkeso budak bakong cara nak isi via tweetrush.com. Mari lihat sini cara pengiraan merujuk kadar caruman sip perkeso socso jenis pertama dan kedua, berapa anda dapat dengan gaji rm1750 sebulan. Melalui program ini, bantuan kewangan segera (7 hari selepas pengesahan. Perkeso | naikkan kadar caruman? Rujuk kadar caruman di bawah permohonan sip boleh dibuat secara online di laman web perkeso dengan mendaftar diri sebagai pencari kerja dan mengisi serta melampirkan borang dan. Caruman bagi skim ni ditetapkan pada kadar 1.25% daripada gaji bulanan dan dibayar setiap bulan oleh majikan. Mtuc bersetuju bahawa terdapat keperluan untuk menaikkan caruman perkeso, namun kenaikan perlulah diletak di atas tanggungjawab majikan. Jadual caruman sip perkeso 2021 (kadar)|adakah anda telah membuat permohonan sistem insurans pekerjaan perkeso (sip) tahun 2021?

Kadar caruman jenis kedua jenis pertama (skim (skim bencana pekerjaan dan bencana skim keilatan) pekerjaan) bil gaji bulanan jumlah syer syer jumlah caruman majikan pekerja caruman oleh majikan sahaja gaji hingga rm 30 1.

Kadar caruman akta keselamatan sosial pekerja (akta 4). Mtuc bersetuju bahawa terdapat keperluan untuk menaikkan caruman perkeso, namun kenaikan perlulah diletak di atas tanggungjawab majikan. Akta kumpulan wang simpanan pekerja 1991.3 amaun upah bagi bulan itu kadar caruman bagi bulan itu. Hah, admin ada berita baik untuk korang! Download lagu kadar caruman socso (6.17mb) dan streaming kumpulan lagu kadar caruman download lagu kadar caruman socso mp3 dapat kamu download secara gratis di metrolagu. Semua majikan sektor swasta perlu membayar caruman bulanan bagi setiap pekerja. Anda sudah boleh mohon sekarang bantuan rm600 sebulan ini. Jadual caruman sip perkeso 2021 (kadar) berikut dikongsikan maklumat berkaitan jadual caruman sip perkeso tahun 2021 termasuk kadar, tarikh bayaran dan semakan kadar caruman adalah tertakluk kepada jadual kedua seksyen 18 akta sistem insurans pekerjaan 2017. Caruman bagi skim ni ditetapkan pada kadar 1.25% daripada gaji bulanan dan dibayar setiap bulan oleh majikan. (dikecualikan kepada penjawat awam, pekhidmat domestik dan yang bekerja sendiri). Perkeso | naikkan kadar caruman? Kadar caruman jenis kedua jenis pertama (skim (skim bencana pekerjaan dan bencana skim keilatan) pekerjaan) bil gaji bulanan jumlah syer syer jumlah caruman majikan pekerja caruman oleh majikan sahaja gaji hingga rm 30 1. Cara pengiraan kadar caruman kwsp & socso 2018 caruman kwsp kadar baru majikan bermula januari?

Perkeso borang 8a format baru perkeso borang 8a format via apexwallpapers.com. Cara pengiraan kadar caruman kwsp & socso 2018 caruman kwsp kadar baru majikan bermula januari? Socso contribution rates & table (jadual caruman socso). Both the rates of contribution are based on the total monthly wages paid to the employee and contributions should be made from the first month the employee is employed. Kadar dan jadual caruman untuk sip & socso oleh pekerja dan majikan di malaysia melalui akta keselamatan sosial perkeso tahun 2021.

Perkeso Archives Mynewshub
Perkeso Archives Mynewshub from www.mynewshub.tv
Kadar caruman adalah tertakluk kepada jadual kedua seksyen 18 akta sistem insurans pekerjaan 2017. Akta sistem insurans pekerjaan 2017 (akta 800). Melalui program ini, bantuan kewangan segera (7 hari selepas pengesahan. You can change your ad preferences anytime. Semua majikan sektor swasta perlu membayar caruman bulanan bagi setiap pekerja. Pada tahun 2017, perkeso perkenalkan skim keselamatan sosial pekerjaan sendiri. Mtuc bersetuju bahawa terdapat keperluan untuk menaikkan caruman perkeso, namun kenaikan perlulah diletak di atas tanggungjawab majikan. Caruman bagi skim ni ditetapkan pada kadar 1.25% daripada gaji bulanan dan dibayar setiap bulan oleh majikan.

Perkeso telah diperbadankan untuk memberikan bantuan perlindungan ini disediakan di bawah peruntukan akta keselamatan sosial pekerjaan sendiri 2017.

Katanya, kadar caruman bulanan perkeso kekal pada 2.25 peratus daripada gaji pencarum dengan 1.75 peratus caruman dibayar majikan dan selebihnya dibayar pekerja sejak pertubuhan berkenaan ditubuhkan pada 1971. Mari lihat sini cara pengiraan merujuk kadar caruman sip perkeso socso jenis pertama dan kedua, berapa anda dapat dengan gaji rm1750 sebulan. Semua majikan sektor swasta perlu membayar caruman bulanan bagi setiap pekerja. Kadar caruman adalah tertakluk kepada jadual kedua seksyen 18 akta sistem insurans pekerjaan 2017. Download lagu kadar caruman socso (6.17mb) dan streaming kumpulan lagu kadar caruman download lagu kadar caruman socso mp3 dapat kamu download secara gratis di metrolagu. Jenis kedua (berumur lebih 60 tahun) (skim bencana pekerjaan) jumlah caruman syer majikan syer pekerja. Perkeso telah diperbadankan untuk memberikan bantuan perlindungan ini disediakan di bawah peruntukan akta keselamatan sosial pekerjaan sendiri 2017. Kadar dan jadual caruman untuk sip & socso oleh pekerja dan majikan di malaysia melalui akta keselamatan sosial perkeso tahun 2021. Terdapat dua skim dibawah perkeso, iaitu skim bencana pekerjaan dan skim keilatan. Cara pengiraan kadar caruman kwsp & socso 2018 caruman kwsp kadar baru majikan bermula januari? Akta sistem insurans pekerjaan 2017 (akta 800). Pengurangan kadar caruman berkanun syer.seksyen emolumen pinjaman dan cuti belajar. Selaras dengan transformasi rebranding perkeso & seksyen 57 akta keselamatan sosial pekerja (aksp) 1969 mekanisma atas talian untuk meningkatkan penyampaian kemudahan implan kepada orang berinsurans perkeso dengan kadar segera.

Related : Kadar Caruman Perkeso 2017 / Notis Makluman Skim Pekerjaan Sendiri Sps Perkeso Assalamualaikum Selamat Tengahari Rakan Rakan E Hailing Mungkin Ramai Yang Tidak Tahu Bahawa Caruman Perkeso Adalah Wajib Sekiranya Hendak Menjadi Seorang Pemandu E Hailing / Melalui program ini, bantuan kewangan segera (7 hari selepas pengesahan..